服務熱線
0374-8622418
400-002-2226
行業從業經驗
34年已獲得的國家專利
36項目前已有的產品型號
200多個目前生產設備
3000套
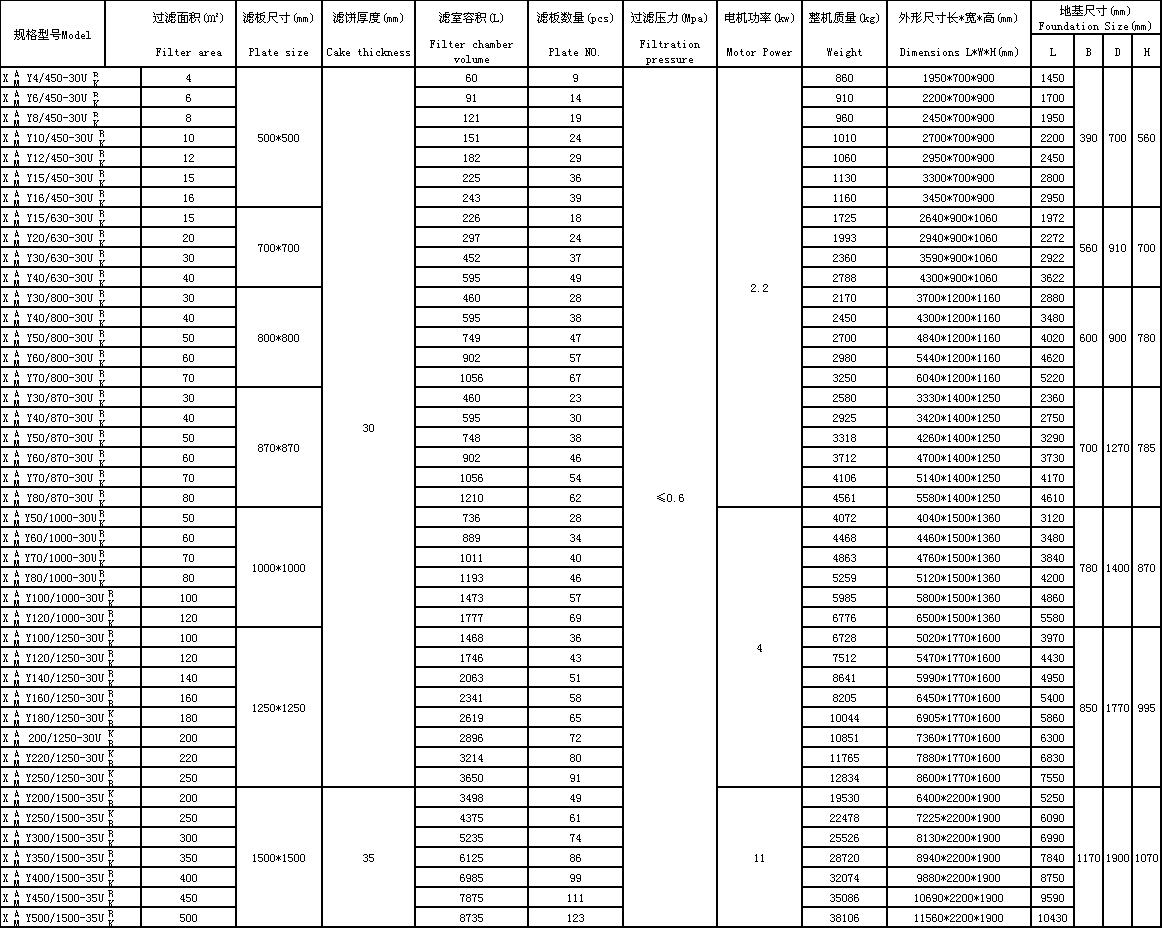
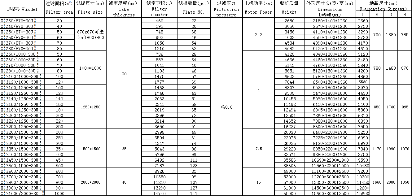
廂式液壓壓濾機參數

廂式自動壓濾機
自動拉板廂式壓濾機,可以采用微電腦控制器、PLC、觸摸屏控制能對壓濾機進行各項操作(如濾板壓緊、集液板合并與開啟、松開濾板、拉開濾板,水沖洗等),并留有遠程控制接口,能遠程自動操作控制。
高效節能壓濾機是在自動拉板壓濾機基礎上增加更換了機械手,加長了油缸,增加了區間,一次拉開多塊濾板卸料。
適用于易脫水,高頻率工作行業的物料,顯著特點,結構緊湊、性能穩定、效率高運行費用低等。
拉板效率提高3-6倍,對于濾板數量較多,工作頻率較高的設備,有顯著優越性。